Re: Eulersche Zahl und x^x


[ Zauberspiegel Wissenschaft Ideenfabrik ]


Geschrieben von Gabi am 16. Mai 2006 13:12:58:

Als Antwort auf: Eulersche Zahl und x^x geschrieben von Gabi am 13. Mai 2006 15:40:41:

Eine Ergänzung:

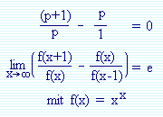
Der Goldene Schnitt p=1.61803.. ist die Lösung von

(p+1) / p - p / 1 = 0

Kellers Gleichung (oder die von Frithjof Müller) kann man ähnlich schreiben:

lim ( f(x+1) / f(x) - f(x) / f(x-1) ) = e
mit f(x) = x^x, f(x+1) = (x+1)^(x+1) usw.

Oder besser lesbar geschrieben:

Diese Ähnlichkeit hebt die x^x-Funktion heraus aus der gegenwärtigen Bedeutungslosigkeit. Sie ist eine besondere Funktion, die die bekannte wichtige Naturkonstante e an jeder Stelle als Grenzwert generiert, und zwar über eine Gleichung, bei der die Funktion x^x als Verallgemeinerung der irrationalsten Zahl die es gibt (Kettenbruch p=(1,1,1,1,..)), gesehen werden kann.

MfG
Gabi




Antworten:


[ Zauberspiegel Wissenschaft Ideenfabrik ]